GTD (Getting Things Done)¶

Our brain is inherently an excellent "CPU" for generating ideas, but it is an extremely poor "hard drive" for storing information. When we try to use our brain to remember all our to-dos, appointments, ideas, and commitments, it becomes occupied with these "unfinished matters," leading to stress, anxiety, and mental clutter, making it impossible to focus on the task at hand. GTD (Getting Things Done), created by productivity guru David Allen, is a globally renowned personal productivity system and workflow management method.
The core philosophy of GTD is to achieve a "Mind Like Water" state of stress-free, highly focused, and efficient work by capturing all pending "stuff" from your mind into an external, trustworthy system, and then following a clear, rigorous process to organize and process it. It is not a simple time management trick, but a complete operating system designed to free your mind and enable you to calmly handle complex work and life.
The Five Core Steps of GTD¶

-
Capture: Immediately move anything that grabs your attention—whether it's a work task, a personal chore, a sudden inspiration, or a future appointment—out of your brain and into your "Inbox." The inbox can be physical (like a file tray, a notebook) or digital (like an email inbox, a to-do app). The key is to ensure your inboxes are as few as possible and can be 100% trusted and emptied.
-
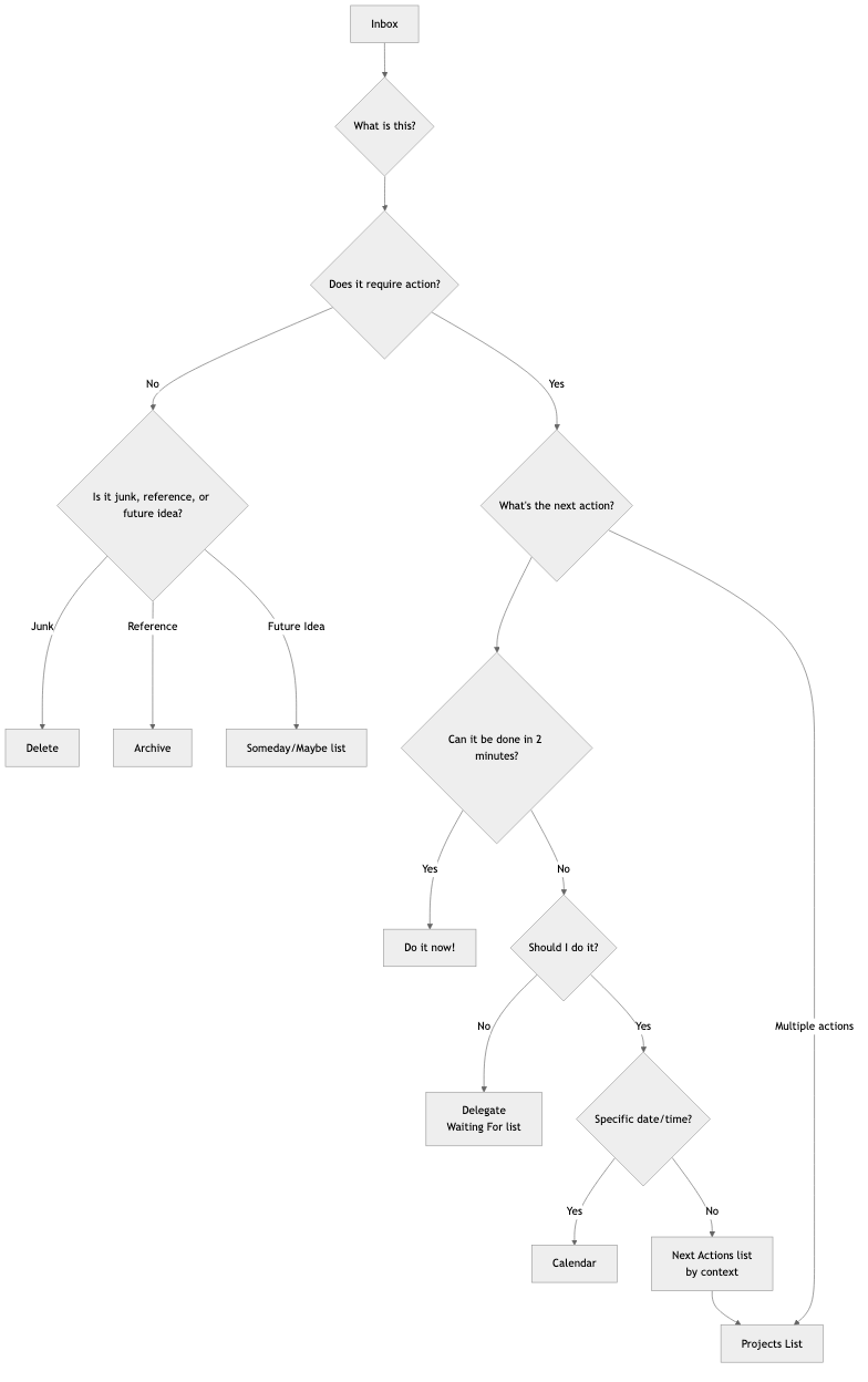
Process: Regularly (at least once a day) "empty" your inbox. Strictly follow the one-item-at-a-time principle, pick up each "stuff" in your inbox one by one, and ask yourself a core question: "What is this? Does it require action?"
- If no action is needed: It's either junk (delete directly), information that might be needed in the future (put into a reference file), or an idea in incubation (put into a "Someday/Maybe" list).
- If action is needed: Proceed to the next organizing step.
-
Organize: For items that require action, put them into different "buckets" based on their nature.
- "Two-Minute Rule": If the action can be completed within two minutes, then do it immediately, without any further organization.
- Delegate to others: If the task should be done by someone else, delegate it immediately and put it into a "Waiting For" list for tracking.
- Calendar: For actions with a specific date or time (e.g., meetings, appointments), put them into your calendar.
- Next Actions List: For actions that require your personal attention, more than one step, and have no specific date, break them down into the first, concrete, visible physical action, and put them into different "Next Actions Lists" according to context. Contexts can be "@computer," "@office," "@phone," "@supermarket," etc.
- Projects List: Any outcome that requires more than one action to complete should be defined as a "Project" and put into the "Projects List." This list only records the project name; its specific next actions are stored in the corresponding next actions list.
-
Reflect: To maintain the trustworthiness of the system, you must conduct regular reviews.
- Daily Review: Quickly browse your calendar and next actions list daily to plan your day's work.
- Weekly Review: This is a crucial part of GTD. Once a week (usually on weekends), set aside 1-2 hours to conduct a comprehensive, thorough review, update, and cleanup of the entire system, ensuring all projects are under control and all lists are up-to-date.
-
Engage: At any given moment, when you need to decide "What should I do now?", you can make a wise and calm choice from your action list based on the following criteria:
- Context: Where are you now? What tools do you have? (e.g., if in the office, look at the "@office" list)
- Time Available: How much free time do you have now? (e.g., if only 10 minutes, choose a task that can be completed quickly)
- Energy Available: What is your current energy level? (e.g., if energetic, tackle a task that requires high concentration)
- Priority: Under the above conditions, which task is most important?
GTD Workflow Processing Diagram¶

Application Cases¶
Case 1: A Busy Department Manager
- Capture: His inbox might include: email inbox, WeChat messages, notes taken during meetings, and sudden ideas that pop into his head.
- Process and Organize:
- An email "regarding next quarter's budget notification" -> No action needed -> Archive to "Company Finance" reference folder.
- An idea "remind subordinate Xiao Zhang to submit weekly report" -> Can be done in 2 minutes -> Immediately send a message to Xiao Zhang.
- A task "prepare for annual team building" -> Requires multiple steps -> Add "Team Building" to the "Projects List"; put the first action "Communicate with HR to get a list of optional venues" into the "@Office" next actions list.
- An appointment "meeting with client next Wednesday at 3 PM" -> Put into Calendar.
- Engage: When he is in the office, has 1 hour of free time, and feels energetic, he can open the "@Office" list and choose to work on "Communicate with HR."
Case 2: A Freelancer's Project Management
- Projects List: Might include "Client A's website design project," "Personal blog redesign," "Learn a new programming language," etc.
- Next Actions List:
- @Phone: Call Client A to confirm feedback on design drafts.
- @Computer-Design: Based on feedback, revise the website homepage design.
- @Computer-Writing: Write a blog post about "responsive design."
- @Read/Learn: Watch the third chapter of the programming course.
- Weekly Review: On Friday afternoon, he checks the progress of all projects, ensuring each project has at least one "next action," and plans the priorities for the next week.
Case 3: A Student Managing Academics and Life
- Inbox: Notifications from course WeChat groups, homework assigned by teachers, ideas about club activities, a shopping list for daily necessities.
- Projects List: "Complete History paper," "Prepare for final exams," "Plan freshman welcome party."
- Next Actions List:
- @Library: Borrow three reference books on the paper topic.
- @Dorm: Organize math class notes.
- @Supermarket: Buy toothpaste and shampoo.
- The GTD system helps him clearly separate academic tasks from daily chores and ensures that the right things are done at the right time and in the right place.
Advantages and Challenges of GTD¶
Core Advantages
- Reduces Mental Stress, Frees Up Brain Bandwidth: By externalizing all "unfinished matters," it greatly reduces the brain's memory burden and the continuous anxiety caused by "fear of forgetting."
- Enhances Sense of Control and Calmness: A trustworthy system assures you that everything is under control, allowing you to approach current tasks more calmly and focused.
- Ensures "Important Things" Are Not Missed: The crucial "Weekly Review" ensures continuous attention and progress on all important projects and long-term goals.
- Highly Adaptable and Flexible: GTD itself does not pre-set priorities but provides a framework that allows you to dynamically and flexibly choose the most appropriate action based on the current context.
Potential Challenges
- High Initial Cost of Setting Up the System: The first time you "capture" and set up the complete list system, it may take several hours or even a full day.
- Requires Strict Self-Discipline and Habit Formation: The success of GTD highly depends on whether you can develop the core habits of continuous capturing and regular reviewing. Once the system is no longer trusted and updated, it will quickly collapse.
- Tool Selection Dilemma: There are many GTD software and tools on the market, and beginners can easily fall into the trap of excessively pursuing the "perfect tool" while neglecting the method itself.
Extensions and Connections¶
- Eisenhower Matrix: Can be used in the "Engage" step of GTD as an effective thinking model for judging "priority."
- Pomodoro Technique: Is an excellent specific tactic for executing tasks from the GTD "Next Actions List" that require high concentration.
Reference: David Allen's global bestseller "Getting Things Done: The Art of Stress-Free Productivity" is the sole and most authoritative source for understanding the complete philosophy, process, and best practices behind the GTD method.